我为什么不再做PL人

我不做程序语言(PL)的工作已经半年了。在这半年里,我变得快乐了很多,对世界也有了新的观点。现在我想来讲一讲,我为什么不想再做PL的工作和研究。我只希望这些观点可以给正在做PL,或者考虑进入这个领域的人们,作为一份参考。

学校里的PL人

PL看似计算机科学最精髓的部分,事实确实也是这样的。没有任何一个其它领域,可以让你对程序的本质形成如此深入的领悟,然而这并不等于你就应该进入PL的博士班。这是为什么呢?

炒冷饭

PL这个领域几十年来,已经发展到了非常成熟的阶段。这里面的问题,要么在20年前已经被人解决掉了,要么就是类似“停机问题”一样,不可能解决的问题。然而,博士毕业却要求你发表“创新”的论文,那怎么办呢?于是你就只有扯淡,把别人已经解决的问题换个名字,或者制造一些看似新鲜却不管用的概念,在大会上煞有介事的宣讲。俗话说就是“炒冷饭”。

最开头进入这个领域的时候,你可能不觉得是这样,因为似乎有那么多的东西可以学习,那么多的大牛可以瞻仰,那么多的新鲜名词,什么“lambda calculus”啊,“语义”啊,各种各样的“类型系统”啊,这样那样的“逻辑”…… 可是时间久了,看透了,你就发现一些这个圈子里的规律。

崇拜古人

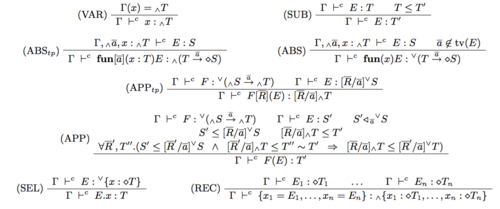
几乎每篇PL领域的论文,里面必有一页弯弯曲曲,让人看花眼的逻辑公式。程序语言的论文,不是用程序来描述,而是用一些老古董的逻辑符号,像这样:

图1:PL论文里的公式

绝大部分PL领域的专家们,似乎都酷爱逻辑符号,视逻辑学家高人一等。这种崇尚古人的倾向,使得PL专家们看不见这些符号背后,类似电路一样的直觉。他们看不见逻辑学的历史局限,所以他们也许能够发展和扩充一个理论,却无法创造一个新的。

说到古人,却并不是所有古人都这么晦涩。如果你考古一下就会发现,其实现代逻辑学的鼻祖Gottlob Frege最初的论文里,是没有这些稀奇古怪的符号的。他整篇论文都在画图,一些像电路一样的东西。比如下图,就是Frege的创始论文《Begriffsschrift》里最复杂的“公式”之一:

图2:Frege的“公式”

你可以把这里的每根线理解成一根电线。图1里那些诡异的逻辑符号,都是一些好事的后人(比如Gentzen)加进去的,最后搞得乌七八糟,失去了Frege理论的简单性。所以PL专家们虽然崇尚古人,却没有发现大部分古人,其实并没能获得鼻祖Frege的真传。

如果你看透了那些公式,自己动手实现过各种解释器,就会发现PL论文里的那些公式,其实相当于解释器的代码,只不过是用一种叫做“XX逻辑”的晦涩的语言写出来的。逻辑,其实本质上是一种相当落伍的程序语言。如果你精通解释器的代码,也许就会发现,这些公式其实用非常蹩脚的方式,实现了哈希表等数据结构。逻辑语言只运行于逻辑学家的脑子里面,用它写出的代码一样可能有bug,而且由于这语言如此障眼难读,而且没有debugger,所以bug非常难发现。逻辑学家们成天为自己的设计失误和bug伤透了脑筋,PL专家们却认为他们具有数学的美感,是比自己聪明的高人 :)

所以当你看透了所有这些,就会发现PL的学术界,其实反反复复在解决一些早已经解决了的问题,只不过给它们起了不同的名字,使用不同的方式来描述。有时候好几个子领域,其实解决的是同一个问题,然而每个子领域的人,却都说自己的问题在本质上是不一样的,号称自己是那个子领域的鼻祖。甚至有人在20多年的时间里,制造出一代又一代的PhD和教授职位。他们的理论一代代的更新,最后却无法解决实际的问题。所谓的“控制流分析”(control-flow analysis,CFA),就是这样的一个子领域。

不知道谁是真的高人

进入一个领域做研究,你总该知道那些人是真正厉害的。可惜的是,PL这个领域里,你往往不知道谁是真正掌握了精髓的学者,甚至好几年之后你仍然蒙在鼓里。我的历史教训是,写教科书的人,往往不是最聪明,最理解本质的。真正深刻的PL研究者,你可能根本没听说过他们的名字。

一般程序员提到PL,就会跟“编译器”这个领域混淆在一起,就会想起大学时候上编译器课,看《龙书》时焦头烂额的情景。然后由于斯德哥尔摩综合症,他们就会崇拜龙书的作者们。直到遇到了真正厉害的PL专家,你才发现编译器这个领域,跟PL根本是两回事,它其实比PL要低一个档次,里面充满了死记硬背的知识甚至误导。龙书的作者,其实也不是最厉害的编译器作者,他们更不是合格的PL专家。

上过“正统”的PL课程的学生,往往用一本经典大部头教材叫《TAPL》,然后就会误认为此书的作者是最厉害的PL专家,然而他们再一次被名气给蒙蔽了。TAPL这书其实不但照本宣科,没有揭示实质,而且冗长没有选择,有用的没用的过时的理论,一股脑的灌输给你。等你研究到了所谓“交集类型”(intersection types),看到TAPL作者当年的博士论文才发现,其实他把简单的问题搞复杂了,而且那些理论几乎完全不能实用。真正厉害的intersection types专家,其实默默无闻的待在Boston University,而且研究到最后,intersection types这个领域其实被他们证明为完全不能实用。

由于TAPL这本书,以及ML),Haskell等语言在PL界的“白象”地位,于是很多人又对Hindley-Milner类型系统(HM)充满了崇敬之情,以为HM系统的发明者Robin Milner是最厉害的PL学者。他的确不错,然而等你随手就能实现出HM系统,看清了它的实质,就会发现所有这样能够“倒推”出类型的系统,其实都具有很大的局限性。

HM系统的“unification)”机制,依赖于数学上的“等价关系”,所以它不可能兼容子类型(subtyping)关系。原因很简单:因为子类型没有交换性,不是一个等价关系。而子类型关系却是对现实世界进行直观的建模所必不可少的,于是你就发现Haskell这类基于HM系统的语言,为了弥补这些缺陷而出现各种“扩展”,却永远无法达到简单和直观。一开头就错了,所以无论Haskell如何发展,这个缺陷也无法弥补。如果没有了HM系统,Haskell就不再是Haskell。

Robin Milner的另外一个贡献π-calculus,虽然看起来吓人,其实看透了之后你发现它里面并没有很多东西。π-calculus对并发进行“建模”,却不能解决并发所带来的各种问题,比如竞争(race condition)。实际上普通的语言也能对并发进行简单的建模,所以π-calculus其实只停留于纸面上,不可能应用到现实中去。跟π-calculus类似的一个概念CSP也有类似的问题,属于“白象理论”。很多语言(比如Go)扯着CSP的旗号,引起很多人无厘头的膜拜,可见白象的威力有多大 :)

我在学校研究PL的时候就是这样,每天都发现天外有天,每天都发现曾经的偶像其实很多时候是错觉。最后我发现,PL领域其实最后就剩下那么一点点实质的内容,其它的都是人们造出来的浮云。所以每当有人问我推荐PL书籍,我都比较无语,因为我的PL知识只有非常少数是看书得来的。自己动手琢磨出来的知识,才是最管用的。

没人知道你是谁

PL的学生还有一个问题,那就是毕业后工作不好找。只有极少数公司(像微软,Intel,Oracle)里的少数团队,可以发挥PL专家的特殊才能。绝大部分其它公司根本不知道PL是什么,PL专家是干什么的。你跟他们说你的专业是“程序语言”,他们还以为你只是学会了“编程”而已,还问你想做“前端”还是“后端” :) 诚然,PL学生一般都有很好的编程能力,然而公司往往只关心自己的实际需求。PL学生毕业之后,很容易被普通公司作为没有任何专长的人对待。

另外,PL的圈子相当的小,而且门派宗教观念严重,所以就算你从名师手下毕业,想进入另一个老师的门徒掌权的公司,很可能因为两个门派的敌视而无法被接纳,就算进去了也经常会因为对于PL的理念不同而发生冲突。所以,学习PL最精髓的理论是有好处的,然而进入PhD投身PL的研究,我觉得应该三思。

公司里的PL人:过度工程

PL人在学校里跟着教授炒冷饭,毕业进入了公司之后,他们的行为方式还是非常类似。他们喜欢在公司里做的一件事情,叫做“过度工程”。本来很直接,很容易解决的一个问题,非要给你扯到各种炫酷的PL名词,然后用无比复杂的方案来解决。

有一些PL人喜欢推广他们认为高大上的语言,比如Haskell,OCaml,Scala等。这些语言在PL学术界很受尊重,所以他们以为这些语言能够奇迹般的解决实际的问题,然而事实却不是这样的。事实是,这些学术界出来的语言,其实缺乏处理现实问题的机制。为了能够在学术上证明程序的所谓“正确性”,而且由于类型系统本身的局限性,这些语言往往被设计得过于简单,具有过度的约束性,以至于表达能力欠缺。

最后,你发现用这些语言来写代码,总是这也不能做,那也不能做,因为你要是那么做了,编译器就无法发现“类型错误”。到最后你发现,这些语言的约束,其实是无需有的。如果放宽这些约束,其实可以更优雅,更简单的对问题进行建模。对正确性的过分关注,其实导致了PL人选择蹩脚的语言,写出绕着弯子,难以理解的代码。

还有一类PL人,喜欢设计不必要存在的语言。因为他们认为设计语言是PL人的特异功能,所以随时随地都想把问题往“语言设计”的方向上靠。这样的趋势是非常危险的,因为有原则的PL人,其实都明白一条重要的道理:不到万不得已的时候,千万不要制造语言。

很多PL人在公司里盲目的制造新的语言,导致的问题是,到最后谁也无法理解这种新语言写出来的代码。这一方面是新语言必然导致的结果,另一方面是由于,并不是每一个PL人都有全面的知识和很好的“品味”。每个PL学生毕业,往往只深入研究了PL的某个子领域,而对其它方面只是浮光掠影,所以他们有可能在那上面犯错。有些PL人喜欢照猫画虎,所以可能盲目的模仿Go语言,Haskell或者Python的特性,设计出非常蹊跷难用的语法。这些新的语言,其实让其他人苦不堪言。最后你发现,他们声称新语言能解决的问题,其实用像Java一样的老语言,照样可以很容易的解决。

喜欢钻牛角尖,把问题搞复杂,就是很多公司里的PL人的共同点。制造语言是PL人应该尽量避免的事情,这恰恰跟PL人的专长是矛盾的。所以有原则的PL人,生活怎么可能不苦 :)

PL人的天才病

很多研究PL的人喜欢看低其它程序员,认为自己能设计实现程序语言,就是天之骄子。我之所以从Dan Friedman那里学到了好东西,却没有成为他的PhD学生,一方面就是因为看不惯围绕在他身边那些自认为是“天才”的人。

总是有那么一群本科生,自认为掌握了Friedman所讲授的精髓,所以高人一等。其实呢,他们的水平比起我这样的,其实差的天远。于是我就经常无奈的看着他们,吵吵闹闹的宣讲他们解决的“新问题”,貌似什么了不起的发明一样,受到Friedman的肯定就受宠若惊的样子。而其实呢,那些都是我几年前就已经试过并且抛弃的方案……

其它的PL人,包括PhD学生,也有一样的毛病。不管在三流大学,还是在Harvard,Princeton,MIT这样的“牛校”出来的,只要是PL人,几乎必然有这种天才作风。另外你可能不知道的是,牛校往往并不产出优秀的PL人才。像Stanford,Berkeley,MIT这样的传统CS牛校,其实在PL方面是相当差的。

这种天才病的危害在于,它蒙蔽了这些人的眼睛。他们不再能设计出让“普通人”可以容易使用的产品。如果你不会用,他们就会嘲笑你笨,而其实呢,是因为他们的设计不好。他们喜欢用含混晦涩的方式(所谓“函数式”)的写法来构造代码,让其它人阅读和修改都极其困难,……

这些所谓天才,看不到简单直观的解决方案,为了显示自己的聪明而采用繁复的抽象,其实是一种愚蠢。真正的天才,必须能够让事情变得简单。